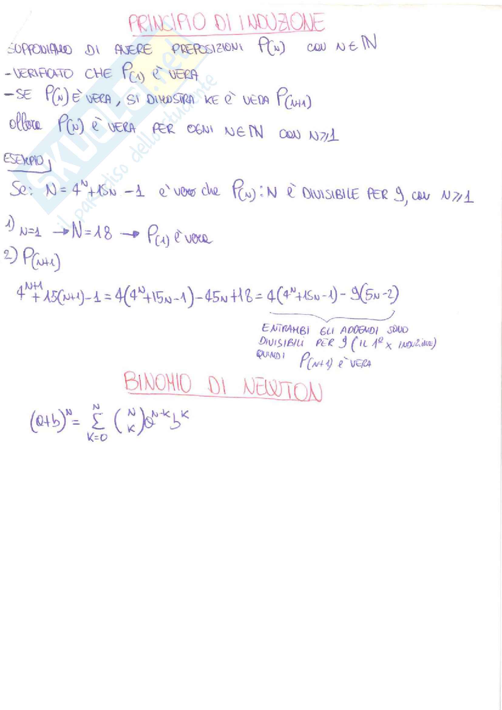
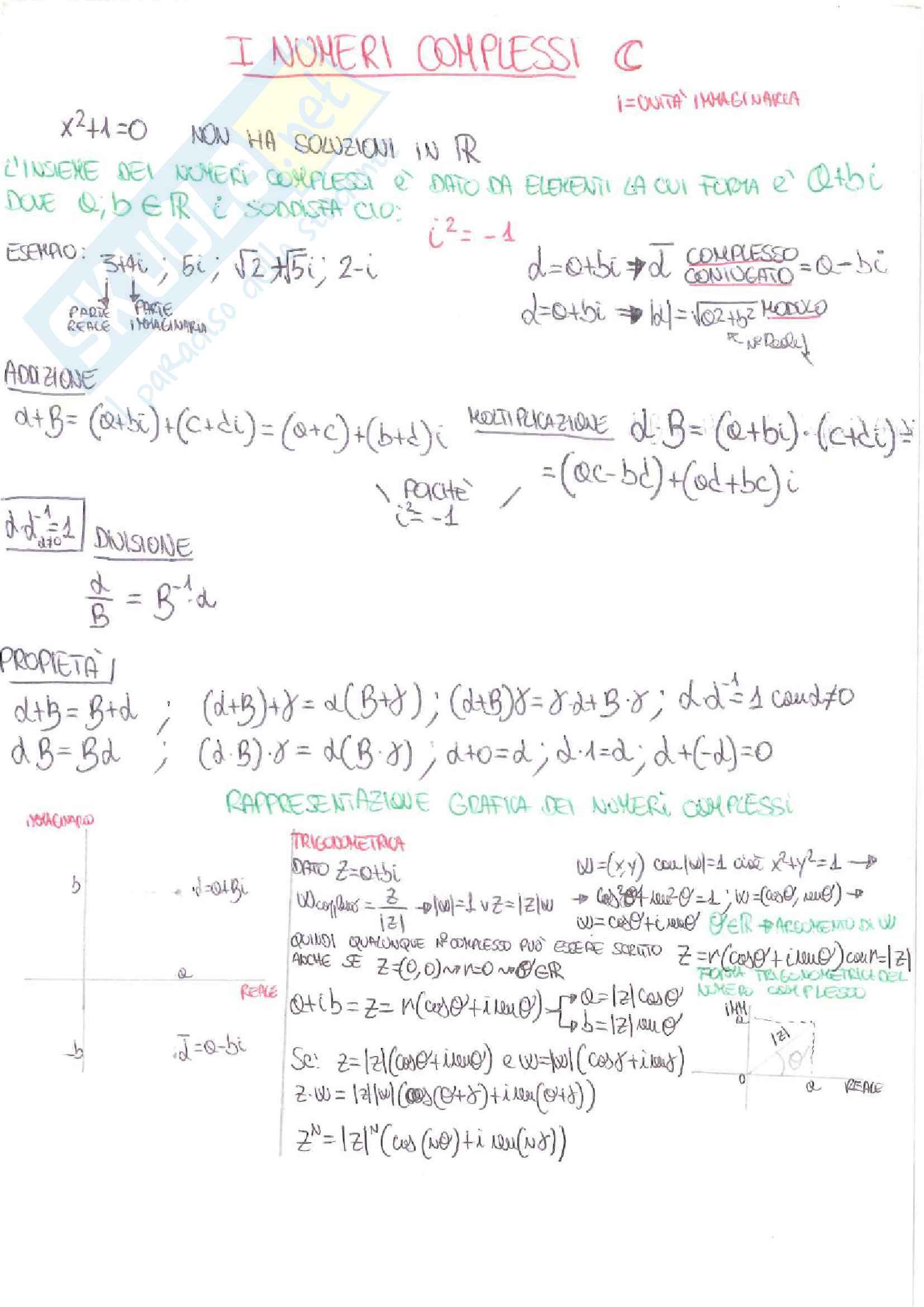
Analisi A Colori - Analisi Matematica 1 e 2 per tutti ... (Violet Weaver)
Cursul acopera materia pentru Trunchi comun + Curriculum diferentiat (profil mate-info) asa ca daca gasesti o lectie despre care nu ai discutat in clasa, poti sari peste. Sono laureato in ingegneria con il massimo dei voti. Esercizi sulla matematica intorno a noi.
La Matematica in azione si costruisce partendo da quello che sai, ti aiuta a organizzare le nuove idee, ti mette alla prova, ti insegna a ragionare e a prendere decisioni.
Matematica este materia care da batai de cap multor elevi.
Cursul acopera materia pentru Trunchi comun + Curriculum diferentiat (profil mate-info) asa ca daca gasesti o lectie despre care nu ai discutat in clasa, poti sari peste. Edizione compatta per gli Istituti professionali: le competenze di base Edizione per la riforma. Aplicatia care rezolva exercitii la matematica!
Get Latest Ideas : HOME





